| 美標國標尺寸對照表 |

| 中國與部分國家的不銹鋼鋼號近似對照表 |
不銹鋼國內國際尺寸公差偏差對照表

| 不銹鋼化學成分對照表 |
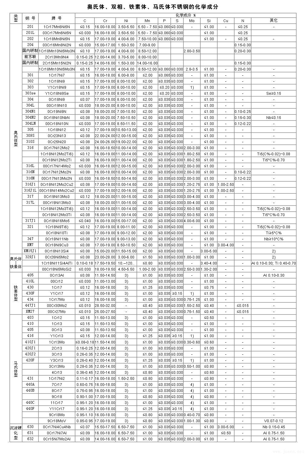
奧氏體-雙相-鐵素體-馬氏體-不銹鋼的化學成分

點擊圖片,放大查看!
(本平臺"常州精密鋼管博客網"的部分圖文來自網絡轉載,轉載目的在于傳遞更多技術信息。我們尊重原創,版權歸原作者所有,若未能找到作者和出處望請諒解,敬請聯系主編微信號:steel_tube,進行刪除或付稿費,多謝!)| 美標國標尺寸對照表 |

| 中國與部分國家的不銹鋼鋼號近似對照表 |
不銹鋼國內國際尺寸公差偏差對照表

| 不銹鋼化學成分對照表 |
奧氏體-雙相-鐵素體-馬氏體-不銹鋼的化學成分

點擊圖片,放大查看!
(本平臺"常州精密鋼管博客網"的部分圖文來自網絡轉載,轉載目的在于傳遞更多技術信息。我們尊重原創,版權歸原作者所有,若未能找到作者和出處望請諒解,敬請聯系主編微信號:steel_tube,進行刪除或付稿費,多謝!)常州精密鋼管博客網推薦您訪問: |
|---|